Introduction: The Integration of AI in the Classroom for Improved Management and Teaching Experience
Author: Cheryl Dublar, PhD
Artificial Intelligence (AI) is no longer a futuristic concept; it's a present-day reality that's reshaping various sectors, including education. This article explores how AI can play a crucial role in enhancing classroom management and the overall teaching experience. From automating administrative tasks to personalizing learning experiences and monitoring student behavior, AI is set to revolutionize the way educators manage their classrooms.
Benefits of AI in Classroom Management
Streamlining Administrative Tasks Through Automation
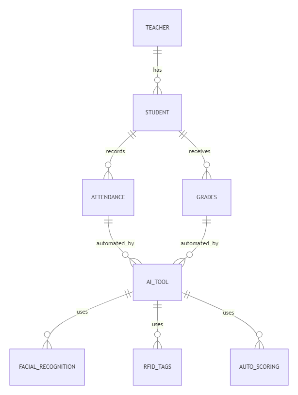
One of the most time-consuming aspects of teaching is administrative work. Attendance, grading, and lesson planning often take away valuable time that could be better spent interacting with students. AI-powered tools can automate these tasks, thereby freeing up teachers to focus on more critical aspects of teaching. For instance, AI algorithms can automatically update attendance records based on facial recognition or RFID tags, eliminating the need for manual roll calls.
The Daily Grind: A Teacher's Reality
If you've ever been a K-12 teacher, you know that the day doesn't start when the bell rings; it starts much earlier. You walk into your classroom, juggling lesson plans, student papers, and maybe even your morning coffee. Before you can even think about teaching, there's a mountain of administrative tasks waiting for you. Attendance needs to be taken, homework needs to be graded, and lesson plans need to be finalized. These tasks, although essential, consume a significant chunk of your time—time that could be better spent engaging with your students, answering their questions, or even giving them valuable one-on-one attention.
The AI Revolution: Not Just a Buzzword
Enter Artificial Intelligence (AI), a game-changer that promises to revolutionize classroom management. Imagine walking into your classroom and, instead of fumbling with attendance sheets or manually entering grades into a system, an AI-powered tool takes care of it all. Facial recognition technology or RFID tags can automatically mark students as present as they walk into the classroom, eliminating the need for manual roll calls and freeing up precious minutes at the start of each class.
Real-Life Applications: How AI is Making a Difference
Let's take a real-life example. Mrs. Johnson, a seasoned middle school teacher, used to spend at least 10 minutes every morning taking attendance and another 30 minutes after school grading homework. That's 40 minutes a day, which adds up to 200 minutes—or over 3 hours—per week. She recently started using an AI-powered classroom management tool that automates these tasks. Now, she uses those saved hours to create more interactive lesson plans and even has time to run a weekly after-school tutoring session for students who need extra help. The impact? Improved student engagement, better academic performance, and a much less stressed-out Mrs. Johnson.
The Bottom Line: More Time for What Really Matters
The automation of administrative tasks through AI doesn't just make life easier for teachers; it enhances the educational experience for students. When teachers are freed from the shackles of time-consuming administrative work, they can focus on what they do best: teaching. They can engage more deeply with their students, tailor their teaching methods to individual learning styles, and provide the kind of education that changes lives. And isn't that why we all got into teaching in the first place?
Personalizing Educational Opportunities for Students
Every student is different, and a one-size-fits-all approach to education often falls short. AI algorithms can analyze student data, such as test scores, participation, and learning styles, to offer personalized learning experiences. Adaptive learning platforms can tailor lessons to individual needs, thereby enhancing the quality of education. This personalization can lead to improved student engagement and better academic outcomes.
Monitoring Student Behavior and Providing Targeted Interventions
Classroom management isn't just about administrative tasks; it's also about creating an environment where students can focus and thrive. AI can monitor student behavior in real-time, offering teachers valuable insights for targeted interventions. For example, AI systems can analyze classroom noise levels, student attentiveness, and even emotional cues to identify students who may need additional support or disciplinary action.
Challenges and Ethical Considerations
Ensuring Data Privacy and Security
The integration of AI in classrooms comes with its own set of challenges, the most significant of which is data security. Educational institutions collect a wealth of sensitive information, from academic records to personal details. Robust data protection measures must be in place to safeguard this information. This includes secure data storage solutions and stringent access controls.
Addressing Bias in AI Algorithms
Another concern is the potential for bias in AI algorithms. Whether it's racial, gender, or socio-economic bias, these prejudices can affect the quality of education and perpetuate existing inequalities. Ongoing professional development and ethical training in understanding AI can help teachers and administrators mitigate these biases.
Avoiding Overreliance on Technology
While AI offers numerous benefits, an overreliance on technology could be detrimental. The human element in teaching is irreplaceable, and technology should serve as a tool to enhance, not replace, human interaction. Teachers should view AI as a teaching assistant that can handle repetitive tasks, not as a substitute for genuine human engagement.
Advancements in AI Technology
Integration of AI with Other Educational Tools and Systems
AI doesn't operate in a vacuum. It can be integrated with other educational tools, such as Learning Management Systems (LMS) and student information systems, to create a more cohesive and efficient educational environment. For example, AI can work in tandem with existing admin staff systems to streamline operations, from scheduling to resource allocation.
Professional Development for Teachers in AI
For AI to be effectively integrated into classrooms, teachers need to be well-versed in the technology. Various professional development courses are available to help teachers get up to speed. These courses cover everything from the basics of AI to more advanced topics like machine learning and data analytics, equipping teachers with the skills they need to harness the full potential of AI in education.
Conclusion
AI holds immense potential to revolutionize classroom management and education at large. However, its successful implementation requires a balanced approach that addresses ethical considerations and promotes teacher readiness for this rapidly-evolving technology. As we move forward, ongoing professional development and ethical considerations will play a crucial role in shaping the future of AI in education.
People Also Ask
- What are the benefits of incorporating AI into classroom management?
- AI can automate administrative tasks, personalize education, and monitor student behavior, thereby improving the overall quality of education.
- How can AI help teachers streamline administrative tasks?
- AI-powered tools can automate tasks like attendance and grading, freeing up teachers' time for more meaningful educational activities.
- What ethical considerations arise with the integration of AI in classrooms?
- Data privacy and algorithmic bias are key ethical considerations that educators and administrators must address.
- What advancements in AI technology are relevant to classroom management?
- Integration with other educational tools and professional development for teachers are crucial for the effective implementation of AI in classrooms.


0 Comments